Search
+31 (0)162 - 48 48 48
Downloads
Certificaten
co2 footprint
Werken bij
Login
Home
Historie
Producten
Heipalen
Projectpaal
Octicon
Octicon Schroefpaal
Projecten
Nieuws
Over ons
Visiedocument
Vacatures
Contact
Lodewikus
Home
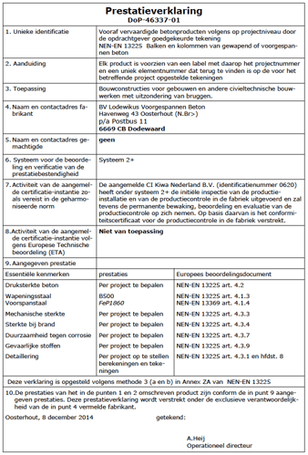
Certificaten
Download
Download
Download
Download
Download
Download
Download
Download
Download
Heb je vragen?
Wil je meer informatie? Neem dan contact met ons op!
Contact